ค้นหาทุกอย่างในเว็บครูบ้านนอก :
ชุมชนครู บุคลากรทางการศึกษา และนักเรียน แหล่งความรู้สำหรับครู นักเรียน ข่าวการศึกษา ห้องสมุดความรู้ทุกกลุ่มสาระการเรียนรู้ และความรู้ทั่วไป เผยแพร่ผลงานวิชาการ ที่นี่


Advertisement

ข่าวการศึกษา     ความรู้ทั่วไป     งานราชการ/รัฐวิสาหกิจ/บริการสังคมผลงานวิชาการเล่มเต็ม  ▶ ข่าว/บทความ ▶ หน้าแรก

The t test สำคัญอย่างไร ผลงาน รศ.วราภรณ์ สุขสุชะโน


ผลงานวิชาการเล่มเต็ม

27,780

views
Advertisement

The t  test สำคัญอย่างไร  ผลงาน รศ.วราภรณ์  สุขสุชะโน

"The t test สำคัญอย่างไร"


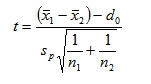
ปัจจุบันได้มีการทำวิจัยกันอย่างแพร่หลายในด้านวิทยาศาสตร์ การเกษตร การแพทย์ ธุรกิจ เศรษฐศาสตร์ สังคม และการศึกษา ซึ่งการวิจัยเป็นกระบวนการแสวงหาความรู้ ข้อเท็จจริงหรือคำตอบของปัญหาในด้านต่าง ๆ โดยการค้นคว้า รวบรวมข้อมูลหรือทดลอง วิเคราะห์ข้อมูลและแปลความหมายจากผลวิเคราะห์ t test เป็นที่รู้จักโดยทั่วไปในกลุ่มนักวิจัย เป็นกระบวนการวิเคราะห์ข้อมูลเพื่อหาคำตอบของปัญหาวิจัยวิธีหนึ่ง ตัวอย่างปัญหาวิจัยที่ใช้ t test ผลสัมฤทธิ์การเรียนรู้โดยให้ผู้เรียนสอนกันเอง ผลสัมฤทธิ์การเรียนรู้โดยใช้แบบฝึกทักษะ การศึกษาเปรียบผลสัมฤทธิ์และความคงทนการเรียนรู้คำศัพท์วิชาภาษาอังกฤษจากการสอนโดยใช้แบบฝึกทักษะที่มีเกมส์และไม่มีเกมส์ประกอบ การโฆษณาสินค้าเพิ่มยอดขายสินค้านั้น เปรียบเทียบการลดน้ำหนักโดยใช้วิธีการออกกำลังกับวิธีควบคุมอาหาร เป็นต้น





keyword : The t test,ttest,t-test, การทดสอบ,สถิติ

 

รายละเอียดเพิ่มเติม >>>



บ้านน็อคดาวน์ทรงโมเดิร์น

฿65,000

https://s.shopee.co.th/2Vm01N027C?share_channel_code=6


The t test สำคัญอย่างไร ผลงาน รศ.วราภรณ์ สุขสุชะโนThettestสำคัญอย่างไรผลงานรศ.วราภรณ์สุขสุชะโน

Advertisement

≡ เรื่องอื่นๆ ที่น่าอ่าน ≡

:: เรื่องปักหมุด ::

นำเสนอสถานศึกษาที่มีวิธีปฏิบัติเป็นเลิศ (Best Practice) เรื่อง ส่งเสริมและพัฒนาความสามารถในการจดจำ พยัญชนะไทยของเด็กปฐมวัย โดยใช้รูปแบบการจัดประสบการณ์การเรียนรู้สมองเป็นฐาน (Brain-Based learning : BBL) : สาวิตรี บุรมย์

นำเสนอสถานศึกษาที่มีวิธีปฏิบัติเป็นเลิศ (Best Practice) เรื่อง ส่งเสริมและพัฒนาความสามารถในการจดจำ พยัญชนะไทยของเด็กปฐมวัย โดยใช้รูปแบบการจัดประสบการณ์การเรียนรู้สมองเป็นฐาน (Brain-Based learning : BBL) : สาวิตรี บุรมย์

เปิดอ่าน 6,063 ☕ คลิกอ่านเลย

Advertisement

≡ เรื่องน่าสนใจในหมวดหมู่นี้ ≡
รายงานวิธีการปฏิบัติที่เป็นเลิศ กิจกรรมถอดบทเรียน (Best Practice) สำหรับครู ตามโครงการโรงเรียนสุจริต ประจำปีงบประมาณ พ.ศ.2567 : สมบูรณ์ แก้วทุย
รายงานวิธีการปฏิบัติที่เป็นเลิศ กิจกรรมถอดบทเรียน (Best Practice) สำหรับครู ตามโครงการโรงเรียนสุจริต ประจำปีงบประมาณ พ.ศ.2567 : สมบูรณ์ แก้วทุย
เปิดอ่าน 4,252 ☕ คลิกอ่านเลย

ชุดกิจกรรมการเรียนรู้คณิตศาสตร์  สำหรับนักเรียนชั้นมัธยมศึกษาปีที่ 3  เรื่อง  ประวัติความเป็นมาและ แนวคิดของความน่าจะเป็น ผลงานครูบุณพจน์  อุตสงควัฒน์
ชุดกิจกรรมการเรียนรู้คณิตศาสตร์ สำหรับนักเรียนชั้นมัธยมศึกษาปีที่ 3 เรื่อง ประวัติความเป็นมาและ แนวคิดของความน่าจะเป็น ผลงานครูบุณพจน์ อุตสงควัฒน์
เปิดอ่าน 7,953 ☕ คลิกอ่านเลย

เอกสารประกอบการสอน เรื่อง แรงและความดัน วิชาวิทยาศาสตร์ ป.5 ผลงานครูเอรวรรณ สรกุล
เอกสารประกอบการสอน เรื่อง แรงและความดัน วิชาวิทยาศาสตร์ ป.5 ผลงานครูเอรวรรณ สรกุล
เปิดอ่าน 16,094 ☕ คลิกอ่านเลย

นิทานชุดเด็กดี มีวินัย เล่มที่ 1 หนอนแก้วขาดวินัย ผลงานครูกชพร โฮ่สกุล
นิทานชุดเด็กดี มีวินัย เล่มที่ 1 หนอนแก้วขาดวินัย ผลงานครูกชพร โฮ่สกุล
เปิดอ่าน 10,057 ☕ คลิกอ่านเลย

ชุดกิจกรรมการเรียนรู้ภาษาไทย ม.3 เรื่องคำภาษาต่างประเทศในภาษาไทย ผลงานครูอมรินทร์ สรรพสมบัติ
ชุดกิจกรรมการเรียนรู้ภาษาไทย ม.3 เรื่องคำภาษาต่างประเทศในภาษาไทย ผลงานครูอมรินทร์ สรรพสมบัติ
เปิดอ่าน 22,723 ☕ คลิกอ่านเลย

คู่มือบทเรียนคอมพิวเตอร์ช่วยสอน CAI (Computer Assisted Instruction) เรื่องสารอบตัว ผลงานครูจารุณี ไทยคณา
คู่มือบทเรียนคอมพิวเตอร์ช่วยสอน CAI (Computer Assisted Instruction) เรื่องสารอบตัว ผลงานครูจารุณี ไทยคณา
เปิดอ่าน 8,783 ☕ คลิกอ่านเลย

≡ เรื่องน่าอ่าน/สาระน่ารู้ ≡

ที่มาของคำว่า "บางกะปิ"
ที่มาของคำว่า "บางกะปิ"
เปิดอ่าน 21,837 ครั้ง

เครื่องแบบข้าราชการ ลูกจ้างประจำ และพนักงานราชการ
เครื่องแบบข้าราชการ ลูกจ้างประจำ และพนักงานราชการ
เปิดอ่าน 65,580 ครั้ง

หน้าที่และความรับผิดชอบของครู
หน้าที่และความรับผิดชอบของครู
เปิดอ่าน 442,247 ครั้ง

รวมข้อมูลหลักสูตรแกนกลางการศึกษาขั้นพื้นฐาน พุทธศักราช 2551 และมาตรฐานการเรียนรู้และตัวชี้วัดฯ (ฉบับปรับปรุง พ.ศ. 2560)
รวมข้อมูลหลักสูตรแกนกลางการศึกษาขั้นพื้นฐาน พุทธศักราช 2551 และมาตรฐานการเรียนรู้และตัวชี้วัดฯ (ฉบับปรับปรุง พ.ศ. 2560)
เปิดอ่าน 97,891 ครั้ง

ระเบียบกระทรวงศึกษาธิการว่าด้วยการบริหารข้อมูลสารสนเทศด้านการศึกษา พ.ศ.2560
ระเบียบกระทรวงศึกษาธิการว่าด้วยการบริหารข้อมูลสารสนเทศด้านการศึกษา พ.ศ.2560
เปิดอ่าน 17,814 ครั้ง

เกมส์ รวมเกมส์สนุกๆ มากมาย
สนามเด็กเล่น

แหล่งรวมเกมส์ เกมส์ให้เล่นมากมาย ศูนย์รวมเกมส์สนุกๆ เกมส์ความรู้ เกมส์ลับสมอง เกมส์ประลองยุทธ แหล่งรวบรวมข้อมูล เกมส์ เกมส์ออนไลน์ เกมส์มันๆ เกมส์ตัดผม ไว้มากมายที่นี่ ให้เด็กๆได้เลือกเล่นมากมาย คลิกเลย

 
หมวดหมู่เนื้อหา
เนื้อหา แยกตามหมวดหมู่ สามารถเลืออ่านได้ตามหมวดหมู่ที่นี่


· Technology
· บทความเทคโนโลยีการศึกษา
· e-Learning
· Graphics & Multimedia
· OpenSource & Freeware
· ซอฟต์แวร์แนะนำ
· การถ่ายภาพ
· Hot Issue
· Research Library
· Questions in ETC
· แวดวงนักเทคโนฯ

· ความรู้ทั่วไป
· คณิตศาสตร์
· วิทยาศาสตร์และเทคโนโลยี
· ภาษาต่างประเทศ
· ภาษาไทย
· สุขศึกษาและพลศึกษา
· สังคมศึกษา ศาสนาฯ
· ศิลปศึกษาและดนตรี
· การงานอาชีพ

· ข่าวการศึกษา
· ข่าวตามกระแสสังคม
· งาน/บริการสังคม
· คลิปวิดีโอยอดนิยม
· เกมส์
· เกมส์ฝึกสมอง

· ทฤษฎีทางการศึกษา
· บทความการศึกษา
· การวิจัยทางการศึกษา
· คุณครูควรรู้ไว้
· เตรียมประเมินวิทยฐานะ
· ผลงานวิชาการเล่มเต็ม
· เครื่องมือสำหรับครู

ครูบ้านนอกดอทคอม

เว็บไซต์เพื่อครู ข่าวการศึกษา ความรู้ การศึกษาไทย

      kroobannok.com

© 2000-2020 Kroobannok.com  
All rights reserved.


Design by : kroobannok.com


ครูบ้านนอกดอทคอม
การจัดอันดับของ Truehits Web Directory

วิธีนำแบนเนอร์ของครูบ้านนอก.คอมไปแปะในเว็บท่าน บันทึกภาพแบนเนอร์นี้และลิงค์มาที่เราครับ (มีแบนเนอร์ 2 แบบ)
 

ครูบ้านนอกดอทคอม เว็บไซต์ของครูตัวเล็กๆ คนหนึ่ง ที่หวังเพียง ใช้เป็นช่องทางในการสื่อสาร แลกเปลี่ยน เพิ่มพูนความรู้ และให้ข่าวสาร ที่ทันสมัยต่อเหตุการณ์แก่คุณครู ผู้ปฏิบัติงานในทุกพื้นที่ของประเทศไทย เพื่อความเจริญงอกงามในปัญญา และเจริญก้าวหน้าในวิชาชีพ

เว็บนี้ถือกำเนิดเมื่อ 5 มกราคม 2548

Email : kornkham@hotmail.com
Tel : 096-7158383

สนใจสนับสนุนเรา โดยลงโฆษณา
คลิกดูรายละเอียดที่นี่ครับ