ค้นหาทุกอย่างในเว็บครูบ้านนอก :
ชุมชนครู บุคลากรทางการศึกษา และนักเรียน แหล่งความรู้สำหรับครู นักเรียน ข่าวการศึกษา ห้องสมุดความรู้ทุกกลุ่มสาระการเรียนรู้ และความรู้ทั่วไป เผยแพร่ผลงานวิชาการ ที่นี่


Advertisement

ข่าวการศึกษา     ความรู้ทั่วไป     งานราชการ/รัฐวิสาหกิจ/บริการสังคมข่าวการศึกษา  ▶ ข่าว/บทความ ▶ หน้าแรก

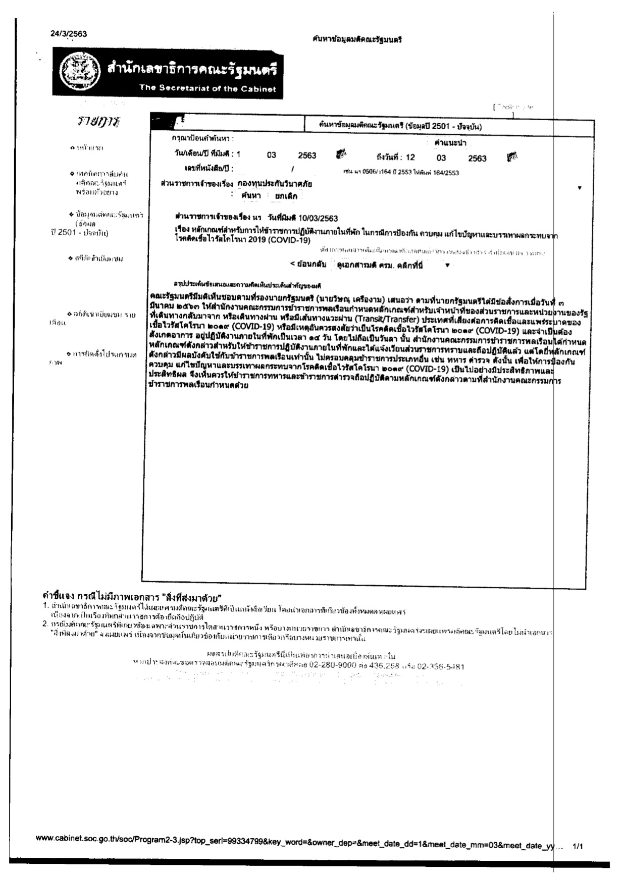
หลักเกณฑ์สำหรับการให้พนักงานราชการปฏิบัติงานภายในที่พัก ในกรณีการป้องกัน ควบคุม แก้ไขปัญหา COVID-19


ข่าวการศึกษา 1 เม.ย. 2563 เวลา 04:39 น.

7,462

views
Advertisement

หลักเกณฑ์สำหรับการให้พนักงานราชการปฏิบัติงานภายในที่พัก ในกรณีการป้องกัน ควบคุม แก้ไขปัญหา COVID-19

ที่ ศธ 04009/ว1899 หลักเกณฑ์สำหรับการให้พนักงานราชการปฏิบัติงานภายในที่พัก ในกรณีการป้องกัน ควบคุม แก้ไขปัญหาและบรรเทาผลกระทบจากโรคติดเชื้อไวรัสโคโรนา 2019(COVID-19) 

ดาวน์โหลดไฟล์แนบ

ที่มา สำนักพัฒนาระบบบริหารงานบุคคลและนิติการ

[ซื้อ 1 แถม 1] ไฟโซล่าเซลล์ ไฟสปอร์ตไลท์ LED โซล่าเซลล์สปอตไลท์ solar light กันน้ำและกันฟ้าผ่ เปิดปิดอัตโนมัติ

฿74 - ฿1,153

https://s.shopee.co.th/801HUF4aRi?share_channel_code=6


หลักเกณฑ์สำหรับการให้พนักงานราชการปฏิบัติงานภายในที่พัก ในกรณีการป้องกัน ควบคุม แก้ไขปัญหา COVID-19หลักเกณฑ์สำหรับการให้พนักงานราชการปฏิบัติงานภายในที่พักในกรณีการป้องกันควบคุมแก้ไขปัญหาCOVID-19

Advertisement

≡ เรื่องอื่นๆ ที่น่าอ่าน ≡

:: เรื่องปักหมุด ::

ว 8/2569 หลักเกณฑ์และวิธีการคัดเลือกบุคคลเพื่อบรรจุและแต่งตั้งเข้ารับราชการ ตำแหน่งบุคลากรทางการศึกษาอื่นตามมาตรา 38 ค. (2) ตำแหน่งประเภททั่วไป ระดับปฏิบัติงาน กรณีที่มีความจำเป็นหรือมีเหตุพิเศษ

ว 8/2569 หลักเกณฑ์และวิธีการคัดเลือกบุคคลเพื่อบรรจุและแต่งตั้งเข้ารับราชการ ตำแหน่งบุคลากรทางการศึกษาอื่นตามมาตรา 38 ค. (2) ตำแหน่งประเภททั่วไป ระดับปฏิบัติงาน กรณีที่มีความจำเป็นหรือมีเหตุพิเศษ

เปิดอ่าน 1,183 ☕ 20 เม.ย. 2569

Advertisement

≡ เรื่องน่าสนใจในหมวดหมู่นี้ ≡
คืบหน้า สพฐ.เปลี่ยนจ้างเหมาเป็น อัตราจ้าง ปีงบ 70 และการจ้างอัตราจ้าง 7,588 อัตรา ที่ คปร.อนุมัติเฉพาะปีงบ 69
คืบหน้า สพฐ.เปลี่ยนจ้างเหมาเป็น อัตราจ้าง ปีงบ 70 และการจ้างอัตราจ้าง 7,588 อัตรา ที่ คปร.อนุมัติเฉพาะปีงบ 69
เปิดอ่าน 3,318 ☕ 24 เม.ย. 2569

ด่วนที่สุด! การคัดเลือกบุคคลเพื่อบรรจุและแต่งตั้งเข้ารับราชการเป็นข้าราชการครูและบุคลากรทางการศึกษา ตำแหน่งครูผู้ช่วย กรณีที่มีความจำเป็นหรือมีเหตุพิเศษ สังกัดสำนักงานคณะกรรมการการศึกษาขั้นพื้นฐาน ปี พ.ศ. 2569
ด่วนที่สุด! การคัดเลือกบุคคลเพื่อบรรจุและแต่งตั้งเข้ารับราชการเป็นข้าราชการครูและบุคลากรทางการศึกษา ตำแหน่งครูผู้ช่วย กรณีที่มีความจำเป็นหรือมีเหตุพิเศษ สังกัดสำนักงานคณะกรรมการการศึกษาขั้นพื้นฐาน ปี พ.ศ. 2569
เปิดอ่าน 1,464 ☕ 23 เม.ย. 2569

ศธ.ถกสำนักงบฯจัดทำคำของบประมาณปี 70 ตั้งเป้า 4.5 แสนล้าน ครอบคลุมนโยบาย 5 ด้าน เพิ่ม 20% จากปี 69
ศธ.ถกสำนักงบฯจัดทำคำของบประมาณปี 70 ตั้งเป้า 4.5 แสนล้าน ครอบคลุมนโยบาย 5 ด้าน เพิ่ม 20% จากปี 69
เปิดอ่าน 305 ☕ 23 เม.ย. 2569

"ประเสริฐ" กางแผนใหญ่ 5 ปี ลดงานครู รื้อสูตรจัดสรรงบประมาณ ชู AI โรงเรียนปลอดภัย ดันคลอดกฎหมายการศึกษา
"ประเสริฐ" กางแผนใหญ่ 5 ปี ลดงานครู รื้อสูตรจัดสรรงบประมาณ ชู AI โรงเรียนปลอดภัย ดันคลอดกฎหมายการศึกษา
เปิดอ่าน 439 ☕ 23 เม.ย. 2569

ว 8/2569 หลักเกณฑ์และวิธีการคัดเลือกบุคคลเพื่อบรรจุและแต่งตั้งเข้ารับราชการ ตำแหน่งบุคลากรทางการศึกษาอื่นตามมาตรา 38 ค. (2) ตำแหน่งประเภททั่วไป ระดับปฏิบัติงาน กรณีที่มีความจำเป็นหรือมีเหตุพิเศษ
ว 8/2569 หลักเกณฑ์และวิธีการคัดเลือกบุคคลเพื่อบรรจุและแต่งตั้งเข้ารับราชการ ตำแหน่งบุคลากรทางการศึกษาอื่นตามมาตรา 38 ค. (2) ตำแหน่งประเภททั่วไป ระดับปฏิบัติงาน กรณีที่มีความจำเป็นหรือมีเหตุพิเศษ
เปิดอ่าน 1,183 ☕ 20 เม.ย. 2569

กรมบัญชีกลาง เร่งเครื่อง!! ส่วนราชการให้เร่งรัดการก่อหนี้ผูกพันให้แล้วเสร็จ ภายใน 30 เม.ย. 69
กรมบัญชีกลาง เร่งเครื่อง!! ส่วนราชการให้เร่งรัดการก่อหนี้ผูกพันให้แล้วเสร็จ ภายใน 30 เม.ย. 69
เปิดอ่าน 609 ☕ 17 เม.ย. 2569

≡ เรื่องน่าอ่าน/สาระน่ารู้ ≡

"ไมโครกรีน" ผักจิ๋ว แต่คุณประโยชน์สูง...ทางเลือกใหม่ของผู้รักสุขภาพ "ทานน้อยแต่ได้ประโยชน์มาก"
"ไมโครกรีน" ผักจิ๋ว แต่คุณประโยชน์สูง...ทางเลือกใหม่ของผู้รักสุขภาพ "ทานน้อยแต่ได้ประโยชน์มาก"
เปิดอ่าน 36,323 ครั้ง

แบ่งเกรดมหาลัย ความรวดร้าวของบัณฑิตจบใหม่
แบ่งเกรดมหาลัย ความรวดร้าวของบัณฑิตจบใหม่
เปิดอ่าน 18,133 ครั้ง

รู้ทันแก๊งบัตรเครดิต ขโมยง่ายกว่า ATM
รู้ทันแก๊งบัตรเครดิต ขโมยง่ายกว่า ATM
เปิดอ่าน 13,580 ครั้ง

งานหนักมาก เหนื่อย ทำอย่างไรดี
งานหนักมาก เหนื่อย ทำอย่างไรดี
เปิดอ่าน 11,803 ครั้ง

อยากพูดฝรั่งคล่อง ต้องร้องเพลงก่อน
อยากพูดฝรั่งคล่อง ต้องร้องเพลงก่อน
เปิดอ่าน 20,780 ครั้ง

เกมส์ รวมเกมส์สนุกๆ มากมาย
สนามเด็กเล่น

แหล่งรวมเกมส์ เกมส์ให้เล่นมากมาย ศูนย์รวมเกมส์สนุกๆ เกมส์ความรู้ เกมส์ลับสมอง เกมส์ประลองยุทธ แหล่งรวบรวมข้อมูล เกมส์ เกมส์ออนไลน์ เกมส์มันๆ เกมส์ตัดผม ไว้มากมายที่นี่ ให้เด็กๆได้เลือกเล่นมากมาย คลิกเลย

 
หมวดหมู่เนื้อหา
เนื้อหา แยกตามหมวดหมู่ สามารถเลืออ่านได้ตามหมวดหมู่ที่นี่


· Technology
· บทความเทคโนโลยีการศึกษา
· e-Learning
· Graphics & Multimedia
· OpenSource & Freeware
· ซอฟต์แวร์แนะนำ
· การถ่ายภาพ
· Hot Issue
· Research Library
· Questions in ETC
· แวดวงนักเทคโนฯ

· ความรู้ทั่วไป
· คณิตศาสตร์
· วิทยาศาสตร์และเทคโนโลยี
· ภาษาต่างประเทศ
· ภาษาไทย
· สุขศึกษาและพลศึกษา
· สังคมศึกษา ศาสนาฯ
· ศิลปศึกษาและดนตรี
· การงานอาชีพ

· ข่าวการศึกษา
· ข่าวตามกระแสสังคม
· งาน/บริการสังคม
· คลิปวิดีโอยอดนิยม
· เกมส์
· เกมส์ฝึกสมอง

· ทฤษฎีทางการศึกษา
· บทความการศึกษา
· การวิจัยทางการศึกษา
· คุณครูควรรู้ไว้
· เตรียมประเมินวิทยฐานะ
· ผลงานวิชาการเล่มเต็ม
· เครื่องมือสำหรับครู

ครูบ้านนอกดอทคอม

เว็บไซต์เพื่อครู ข่าวการศึกษา ความรู้ การศึกษาไทย

      kroobannok.com

© 2000-2020 Kroobannok.com  
All rights reserved.


Design by : kroobannok.com


ครูบ้านนอกดอทคอม
การจัดอันดับของ Truehits Web Directory

วิธีนำแบนเนอร์ของครูบ้านนอก.คอมไปแปะในเว็บท่าน บันทึกภาพแบนเนอร์นี้และลิงค์มาที่เราครับ (มีแบนเนอร์ 2 แบบ)
 

ครูบ้านนอกดอทคอม เว็บไซต์ของครูตัวเล็กๆ คนหนึ่ง ที่หวังเพียง ใช้เป็นช่องทางในการสื่อสาร แลกเปลี่ยน เพิ่มพูนความรู้ และให้ข่าวสาร ที่ทันสมัยต่อเหตุการณ์แก่คุณครู ผู้ปฏิบัติงานในทุกพื้นที่ของประเทศไทย เพื่อความเจริญงอกงามในปัญญา และเจริญก้าวหน้าในวิชาชีพ

เว็บนี้ถือกำเนิดเมื่อ 5 มกราคม 2548

Email : kornkham@hotmail.com
Tel : 096-7158383

สนใจสนับสนุนเรา โดยลงโฆษณา
คลิกดูรายละเอียดที่นี่ครับ